Упр.1.82 ГДЗ Виленкин Жохов 6 класс Часть 1, Просвещение (Математика)

Решение #1

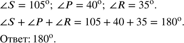
Изображение 1.82. Измерьте углы треугольника PRS на рисунке 21. Найдите сумму углов...

Рассмотрим вариант решения задания из учебника Виленкин, Жохов, Чесноков 6 класс, Просвещение:
1.82. Измерьте углы треугольника PRS на рисунке 21. Найдите сумму углов треугольника.
*Цитирирование задания со ссылкой на учебник производится исключительно в учебных целях для лучшего понимания разбора решения задания.
*размещая тексты в комментариях ниже, вы автоматически соглашаетесь с пользовательским соглашением