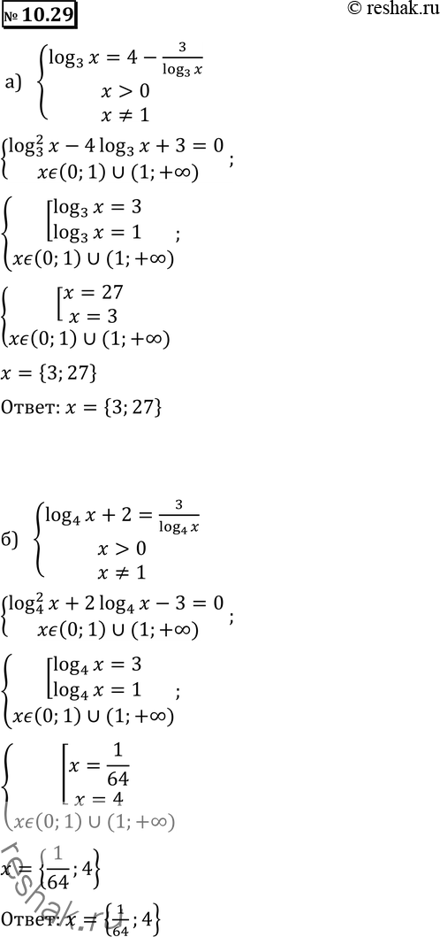
Упр.10.29 ГДЗ Никольский Потапов 11 класс (Алгебра)
Решение #1
Решение #2

Рассмотрим вариант решения задания из учебника Никольский, Потапов 11 класс, Просвещение:
10.29 a) log3(х) = 4 - 3logx(3);
б) log4(х) + 2 = 3logx(4);
в) log3(х) - 2 = 3logx(3);
г) log2(х) + 6logx(2)=5.
*размещая тексты в комментариях ниже, вы автоматически соглашаетесь с пользовательским соглашением