Упр.2.210 ГДЗ Виленкин Жохов 6 класс Часть 1, Просвещение (Математика)

Решение #1

Изображение 2.210. Найдите разность:а) 1 - 4/5;   б) 2 - 3/7;   в) 7 - 4/13;   г) 6 - 1 5/9;   д) 9 - 3 4/7;   е) 5 - 4 2/11.Когда на первом месте стоит целое число и из него...

Решение #2

Изображение 2.210. Найдите разность:а) 1 - 4/5;   б) 2 - 3/7;   в) 7 - 4/13;   г) 6 - 1 5/9;   д) 9 - 3 4/7;   е) 5 - 4 2/11.Когда на первом месте стоит целое число и из него...

Рассмотрим вариант решения задания из учебника Виленкин, Жохов, Чесноков 6 класс, Просвещение:
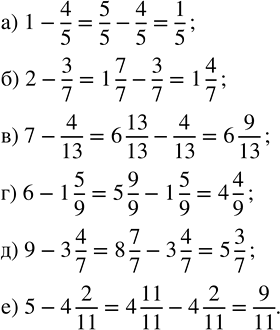
2.210. Найдите разность:
а) 1 - 4/5; б) 2 - 3/7; в) 7 - 4/13; г) 6 - 1 5/9; д) 9 - 3 4/7; е) 5 - 4 2/11.

Когда на первом месте стоит целое число и из него необходимо вычесть смешанное число, нужно целое число представить в виде смешанного числа, у которого дробная часть будет являться неправильной дробью.
Для того, чтобы выполнить вычитание смешанных чисел, необходимо дробные части привести к общему знаменателю, затем отдельно выполнить вычитание целых частей и дробных частей.

а) 1-4/5=5/5-4/5=(5-4)/5=1/5

б) 2-3/7=(1+1)-3/7=(1+7/7)-3/7=1+7/7-3/7=1+(7-3)/7=1+4/7=1 4/7

в) 7-4/13=(6+1)-4/13=(6+13/13)-4/13=6+(13-4)/13=6+9/13=6 9/13

г) 6-1 5/9=(5+1)-(1+5/9)=(5+9/9)-(1+5/9)=(5-1)+(9/9-5/9)=4+(9-5)/9=4+4/9=4 4/9

д) 9-3 4/7=(8+1)-(3+4/7)=(8+7/7)-(3+4/7)=(8-3)+(7/7-4/7)=5+(7-4)/7=5+3/7=5 3/7

е) 5-4 2/11=(4+1)-(4+2/11)=(4+11/11)-(4+2/11)=(4-4)+(11/11-2/11)=0+(11-2)/11=9/11
*Цитирирование задания со ссылкой на учебник производится исключительно в учебных целях для лучшего понимания разбора решения задания.
*размещая тексты в комментариях ниже, вы автоматически соглашаетесь с пользовательским соглашением