Упр.2.217 ГДЗ Виленкин Жохов 6 класс Часть 1, Просвещение (Математика)

Решение #1

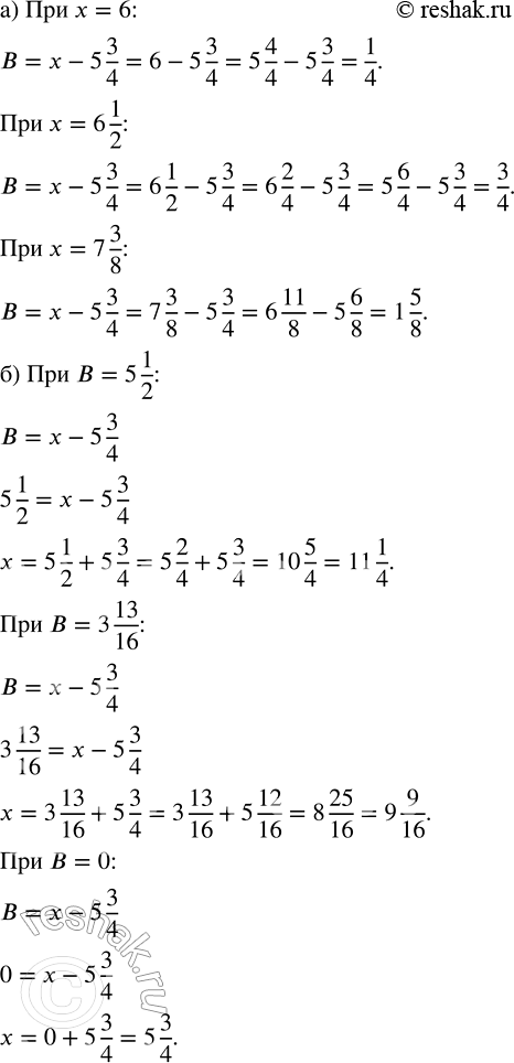
Изображение 2.217. По формуле В = х - 5 3/4 найдите значение:а) В при x = 6; х = 6 1/2; х = 7 3/8;б) x при В = 5 1/2; В = 3 13/16; В =...

Рассмотрим вариант решения задания из учебника Виленкин, Жохов, Чесноков 6 класс, Просвещение:
2.217. По формуле В = х - 5 3/4 найдите значение:
а) В при x = 6; х = 6 1/2; х = 7 3/8;
б) x при В = 5 1/2; В = 3 13/16; В = 0.
*Цитирирование задания со ссылкой на учебник производится исключительно в учебных целях для лучшего понимания разбора решения задания.
*размещая тексты в комментариях ниже, вы автоматически соглашаетесь с пользовательским соглашением