Упр.2.22 ГДЗ Никольский Потапов 11 класс (Алгебра)
Решение #1

Рассмотрим вариант решения задания из учебника Никольский, Потапов 11 класс, Просвещение:
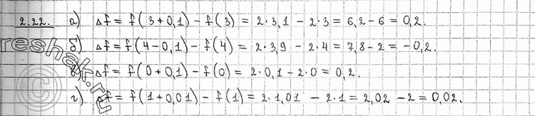
Вычислите приращение Af функции у = f(x) в заданной точке X0 и при заданном приращении аргумента дельта х (2.22—2.24), если:
2.22 f(x) = 2х.
а) х0 = 3, дельта х = 0,1;
б) х0 = 4, дельта х = -0,1;
в) х0 = 0, дельта х = 0,1;
г) х0 = 1, дельта х = 0,1.
*размещая тексты в комментариях ниже, вы автоматически соглашаетесь с пользовательским соглашением