Упр.2.23 ГДЗ Никольский Потапов 11 класс (Алгебра)
Решение #1
Решение #2

Рассмотрим вариант решения задания из учебника Никольский, Потапов 11 класс, Просвещение:
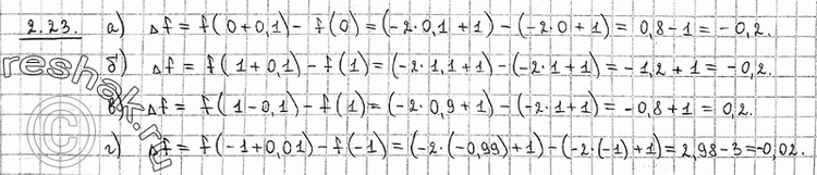
2.23 f(x) = -2х + 1.
a) x0 = 0, дельта x = 0,1;
б) x0 = 1, дельта x = 0,1;
в) x0 = 1, дельта x = -0,1;
г) x0 = -1, дельта x = 0,01.
*размещая тексты в комментариях ниже, вы автоматически соглашаетесь с пользовательским соглашением