Упр.2.284 ГДЗ Виленкин Жохов 6 класс Часть 1, Просвещение (Математика)

Решение #1

Изображение 2.284. Найдите значение произведения:а) 5 · 2 3/5;   б) 4 3/8 · 16;   в) 1 2/9 · 9;   г) 1 · 7 8/11;   д) 2 2/13 · 0;   е) 0 · 1 6/17.Для того, чтобы выполнить...

Решение #2

Изображение 2.284. Найдите значение произведения:а) 5 · 2 3/5;   б) 4 3/8 · 16;   в) 1 2/9 · 9;   г) 1 · 7 8/11;   д) 2 2/13 · 0;   е) 0 · 1 6/17.Для того, чтобы выполнить...

Рассмотрим вариант решения задания из учебника Виленкин, Жохов, Чесноков 6 класс, Просвещение:
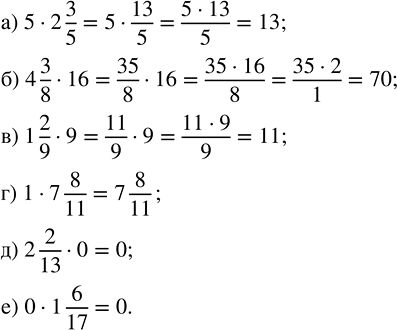
2.284. Найдите значение произведения:
а) 5 · 2 3/5; б) 4 3/8 · 16; в) 1 2/9 · 9; г) 1 · 7 8/11; д) 2 2/13 · 0; е) 0 · 1 6/17.

Для того, чтобы выполнить умножение смешанных чисел, необходимо представить их в виде неправильных дробей.
Для того, чтобы найти произведение дроби и натурального числа, необходимо её числитель умножить на это число, а знаменатель оставить без изменения.
При умножении необходимо выполнять сокращение, если это возможно, для удобства расчётов. Для этого необходимо одно из чисел числителя и знаменателя разделить на одно и то же число и далее выполнять умножение.
а) 5•2 3/5=5•13/5=(5•13)/5=13/1=13
б) 4 3/8•16=35/8•16=(35•16)/8=(35•2•8)/8=70/1=70
в) 1 2/9•9=11/9•9=(11•9)/9=11/1=11
г) 1•7 8/11=7 8/11
Любое число, умноженное на единицу, равно самому себе.
д) 2 2/13•0=0
Любое число, умноженное на ноль, равно нулю.
е) 0•1 6/17=0
Любое число, умноженное на ноль, равно нулю.
*Цитирирование задания со ссылкой на учебник производится исключительно в учебных целях для лучшего понимания разбора решения задания.
*размещая тексты в комментариях ниже, вы автоматически соглашаетесь с пользовательским соглашением