Упр.2.385 ГДЗ Виленкин Жохов 6 класс Часть 1, Просвещение (Математика)

Решение #1

Изображение 2.385. Выполните действия:а) 7 4/13 · 5 5/7 + 7 4/13 · 7 2/7;   б) 7 3/4 · 10 3/8 - 3 3/8 · 7 3/4;в) 4 3/5 · 4 3/5 + 4 3/5 · 2/5.Используем распределительное...

Решение #2

Изображение 2.385. Выполните действия:а) 7 4/13 · 5 5/7 + 7 4/13 · 7 2/7;   б) 7 3/4 · 10 3/8 - 3 3/8 · 7 3/4;в) 4 3/5 · 4 3/5 + 4 3/5 · 2/5.Используем распределительное...
Дополнительное изображение

Рассмотрим вариант решения задания из учебника Виленкин, Жохов, Чесноков 6 класс, Просвещение:
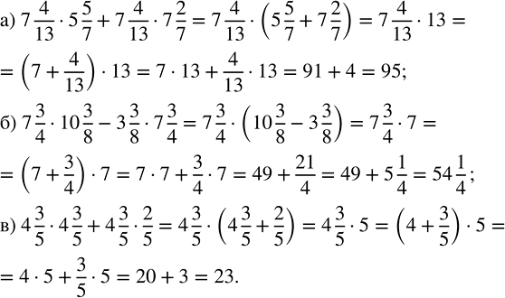
2.385. Выполните действия:
а) 7 4/13 · 5 5/7 + 7 4/13 · 7 2/7; б) 7 3/4 · 10 3/8 - 3 3/8 · 7 3/4;
в) 4 3/5 · 4 3/5 + 4 3/5 · 2/5.
Используем распределительное свойство умножения относительно сложения и вычитания – выносим общий множитель за скобки.
При сложении (вычитании) дробей с одинаковыми знаменателями, их числители складывают, а знаменатель оставляют тот же.
Для того, чтобы умножить смешанное число на натуральное число, можно умножить целую часть на натуральное число; умножить дробную часть на это натуральное число; затем сложить полученные результаты.
Для того, чтобы умножить обыкновенную дробь на натуральное число, необходимо её числитель умножить на это число, а знаменатель оставить без изменений.
Прежде, чем выполнить умножение, выполняем сокращение дробей (если это возможно), то есть делим числитель и знаменатель на одно и то же число (наибольший общий делитель).
Дробь, у которой в знаменателе стоит единица, равна числителю.
а) 7 4/13•5 5/7+7 4/13•7 2/7=7 4/13•(5 5/7+7 2/7)=7 4/13•((5+7)+(5/7+2/7))=7 4/13•(12+(5+2)/7)=7 4/13•(12+7/7)=7 4/13•(12+1)=7 4/13•13=(7+4/13)•13=7•13+4/13•13=91+(4•13)/13=91+4/1=91+4=95
б) 7 3/4•10 3/8-3 3/8•7 3/4=7 3/4•(10 3/8-3 3/8)=7 3/4•((10-3)+(3/8-3/8))=7 3/4•(7+0)=7 3/4•7=(7+3/4)•7=7•7+3/4•7=49+(3•7)/4=49+21/4=49+5 1/4=54 1/4
в) 4 3/5•4 3/5+4 3/5•2/5=4 3/5•(4 3/5+2/5)=4 3/5•(4+3/5+2/5)=4 3/5•(4+(3+2)/5)=4 3/5•(4+5/5)=4 3/5•(4+1)=4 3/5•5=(4+3/5)•5=4•5+3/5•5=20+(3•5)/5=20+3/1=20+3=23
*Цитирирование задания со ссылкой на учебник производится исключительно в учебных целях для лучшего понимания разбора решения задания.
*размещая тексты в комментариях ниже, вы автоматически соглашаетесь с пользовательским соглашением