Упр.2.453 ГДЗ Виленкин Жохов 6 класс Часть 1, Просвещение (Математика)

Решение #1

Изображение 2.453. Представьте в виде дроби частное:а) a/b : m/n;   б) s/t : c;   в) d : a/m.При выполнении преобразований опираемся на следующие правила:- для того, чтобы...

Решение #2

Изображение 2.453. Представьте в виде дроби частное:а) a/b : m/n;   б) s/t : c;   в) d : a/m.При выполнении преобразований опираемся на следующие правила:- для того, чтобы...

Рассмотрим вариант решения задания из учебника Виленкин, Жохов, Чесноков 6 класс, Просвещение:
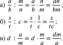
2.453. Представьте в виде дроби частное:
а) a/b : m/n; б) s/t : c; в) d : a/m.
При выполнении преобразований опираемся на следующие правила:
- для того, чтобы разделить одну дробь на другую, необходимо делимое умножить на число, обратное делителю, то есть у делителя нужно поменять местами числитель и знаменатель.
- произведением двух дробей является дробь, числитель которой равен произведению числителей, а знаменатель – произведению знаменателей.
- при делении дроби на натуральное число, учитываем то, что любое натуральное число можно представить в виде дроби со знаменателем 1, затем пользуемся правилом деления дробей.
Обратите внимание, между буквами не пишем знак умножения, но подразумеваем его там.
а) a/b :m/n=a/b•n/m=an/bm
б) s/t :c=s/t :c/1=s/t•1/c=s/tc
в) d:a/m=d•m/a=dm/a
*Цитирирование задания со ссылкой на учебник производится исключительно в учебных целях для лучшего понимания разбора решения задания.
*размещая тексты в комментариях ниже, вы автоматически соглашаетесь с пользовательским соглашением