Упр.229 ГДЗ Колягин Ткачёва 9 класс (Алгебра)
Решение #1

Рассмотрим вариант решения задания из учебника Колягин, Ткачёва, Фёдорова 9 класс, Просвещение:
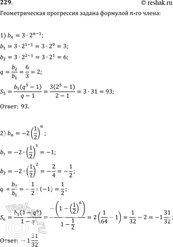
229. Геометрическая прогрессия задана формулой n-го члена:
1) b_n=3·2^(n-1), найти S_5;
2) b_n=-2(1/2)^n, найти S_6.
*размещая тексты в комментариях ниже, вы автоматически соглашаетесь с пользовательским соглашением