Упр.242 ГДЗ Колягин Ткачёва 9 класс (Алгебра)
Решение #1

Рассмотрим вариант решения задания из учебника Колягин, Ткачёва, Фёдорова 9 класс, Просвещение:
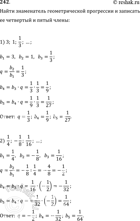
242. Найти знаменатель геометрической прогрессии и записать четвёртый и пятый её члены:
1) 3, 1, 1/3, ...; 2) 1/4, -1/8, 1/16, ...;
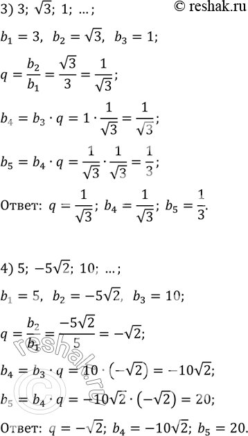
3) 3, v3, 1, ...; 4) 5, -5v2, 10, ... .
*размещая тексты в комментариях ниже, вы автоматически соглашаетесь с пользовательским соглашением