Упр.3.44 ГДЗ Виленкин Жохов 6 класс Часть 1, Просвещение (Математика)

Решение #1

Изображение 3.44. Составьте ещё пропорции, переставив члены данной пропорции:а) 4 : 16 = 7 : 28;   б) 24/0,4 = 36/0,6;   в) p/q = l/k.Если в верной пропорции поменять местами...

Решение #2

Изображение 3.44. Составьте ещё пропорции, переставив члены данной пропорции:а) 4 : 16 = 7 : 28;   б) 24/0,4 = 36/0,6;   в) p/q = l/k.Если в верной пропорции поменять местами...

Рассмотрим вариант решения задания из учебника Виленкин, Жохов, Чесноков 6 класс, Просвещение:
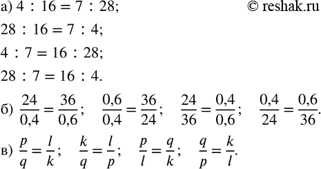
3.44. Составьте ещё пропорции, переставив члены данной пропорции:
а) 4 : 16 = 7 : 28; б) 24/0,4 = 36/0,6; в) p/q = l/k.
Если в верной пропорции поменять местами средние члены или крайние, то получившиеся новые пропорции тоже верны.
Тогда, получим новые верные пропорции
а) 4:16=7:28
28:16=7:4
4:7=16:28
б) 24/0,4=36/0,6
0,6/0,4=36/24
24/36=0,4/0,6
в) p/q=l/k
k/q=l/p
p/l=q/k
*Цитирирование задания со ссылкой на учебник производится исключительно в учебных целях для лучшего понимания разбора решения задания.
*размещая тексты в комментариях ниже, вы автоматически соглашаетесь с пользовательским соглашением