Упр.3.61 ГДЗ Виленкин Жохов 6 класс Часть 1, Просвещение (Математика)

Решение #1

Изображение 3.61. Найдите число, если разность 7/9 этого числа и 0,8 равна 1.Решим задачу при помощи уравнения.Пусть  x – неизвестное число.Тогда,  7/9  неизвестного числа...

Решение #2

Изображение 3.61. Найдите число, если разность 7/9 этого числа и 0,8 равна 1.Решим задачу при помощи уравнения.Пусть  x – неизвестное число.Тогда,  7/9  неизвестного числа...
Дополнительное изображение

Рассмотрим вариант решения задания из учебника Виленкин, Жохов, Чесноков 6 класс, Просвещение:
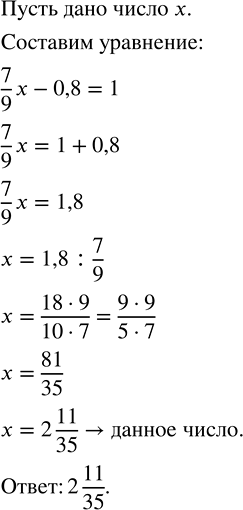
3.61. Найдите число, если разность 7/9 этого числа и 0,8 равна 1.
Решим задачу при помощи уравнения.
Пусть x – неизвестное число.
Тогда, 7/9 неизвестного числа равны 7/9 x, так как, чтобы найти дробь от числа, необходимо умножить число на эту дробь.
Если разность 7/9 неизвестного числа, то есть 7/9 x, и 0,8 равна 1, то можно составить следующее уравнение
7/9 x-0,8=1
В полученном уравнении неизвестно уменьшаемое 7/9 x .
Для того, чтобы найти неизвестное уменьшаемое, необходимо к разности прибавить вычитаемое, получим
7/9 x=1+0,8 , или, выполнив вычитание,
7/9 x=1,8
В полученном уравнении неизвестен множитель x.
Для того, чтобы найти неизвестный множитель, необходимо произведение разделить на известный множитель, получим
x=1,8:7/9
Для того, чтобы выполнить деление, десятичную дробь преобразуем в обыкновенную, у которой в знаменателе стоит единица с нулями (число нулей в знаменателе обыкновенной дроби равно числу цифр после запятой в десятичной дроби), получим
x=1 8/10 :7/9
Для того, чтобы выполнить умножение (деление) смешанных чисел, их необходимо преобразовать в неправильные дроби, а затем воспользоваться правилом умножения дробей.
Для того, чтобы преобразовать смешанное число в неправильную дробь, необходимо целую часть числа умножить на знаменатель дробной части и к полученному произведению прибавить числитель дробной части; эту сумму записать как числитель неправильной дроби, а в её знаменатель записать знаменатель дробной части смешанного числа, получим
x=18/10 :7/9
Для того, чтобы разделить обыкновенные дроби, необходимо делимое умножить на дробь, обратную делителю, то есть у делителя поменять местами числитель и знаменатель, получим
x=18/10•9/7
Произведением двух дробей является дробь, числитель которой равен произведению числителей, а знаменатель - произведению знаменателей, то есть
x=(18•9)/(10•7) , или, выполнив сокращение,
x=(2•9•9)/(2•5•7)
x=81/35
Преобразуем в смешанное число, тогда, x=2 11/35 .
Ответ: 2 11/35 .
*Цитирирование задания со ссылкой на учебник производится исключительно в учебных целях для лучшего понимания разбора решения задания.
*размещая тексты в комментариях ниже, вы автоматически соглашаетесь с пользовательским соглашением