Упр.389 ГДЗ Колягин Ткачёва 9 класс (Алгебра)
Решение #1

Рассмотрим вариант решения задания из учебника Колягин, Ткачёва, Фёдорова 9 класс, Просвещение:
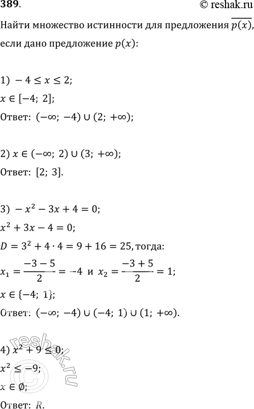
389. Найти множество истинности для предложения (!р(х)), если дано предложение р(х):
1) -4?x?2; 2) x?(-?; 2)?(3; +?);
3) -x^2-3x+4=0; 4) x^2+9?0.
*размещая тексты в комментариях ниже, вы автоматически соглашаетесь с пользовательским соглашением