Упр.4.14 ГДЗ Никольский Потапов 11 класс (Алгебра)
Решение #1

Рассмотрим вариант решения задания из учебника Никольский, Потапов 11 класс, Просвещение:
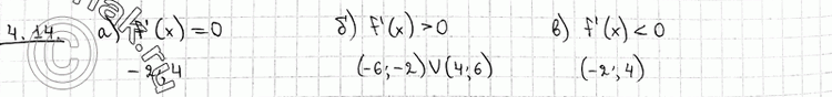
4.14 В предыдущем задании найдите значения х, при которых:
a) f'(x) = 0; б) f'(x)> 0; в) f'(x)<0.
*размещая тексты в комментариях ниже, вы автоматически соглашаетесь с пользовательским соглашением