Упр.4.18 ГДЗ Никольский Потапов 11 класс (Алгебра)
Решение #1

Рассмотрим вариант решения задания из учебника Никольский, Потапов 11 класс, Просвещение:
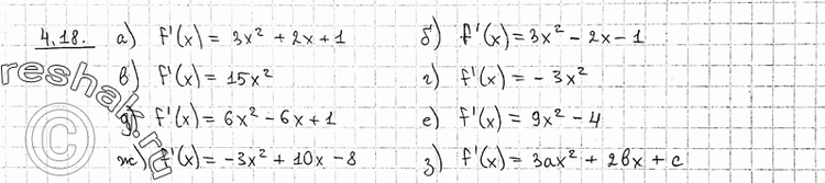
Найдите производную функции в любой точке хей, используя задание 4.12 (4.18—4.19):
4.18 а) у = х3 + х2 + х;
б) у = х3 - х2 - х;
в) у = 5х3;
г) у = -х3;
д) у = 2х3 - 3х2 + х;
е) у = 3х3 - 4х + 2;
ж) у = -х3 + 5х2 - 8х + 13;
з) у = ах3 + 6х2 + сх + d.
*размещая тексты в комментариях ниже, вы автоматически соглашаетесь с пользовательским соглашением