Упр.4.19 ГДЗ Никольский Потапов 11 класс (Алгебра)
Решение #1
Решение #2

Рассмотрим вариант решения задания из учебника Никольский, Потапов 11 класс, Просвещение:
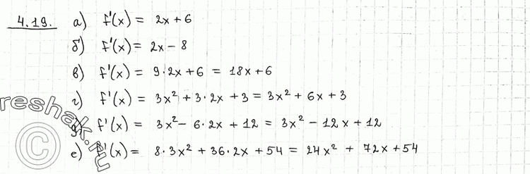
4.19 а) у = (х + 3)2;
б) y = (х - 4)2;
в) у = (3х + 1)2;
г) у = (х+ 1)3;
д) у = (х - 2)3;
е) у = (2х + 3)3.
*размещая тексты в комментариях ниже, вы автоматически соглашаетесь с пользовательским соглашением