Упр.4.2 ГДЗ Никольский Потапов 11 класс (Алгебра)
Решение #1

Рассмотрим вариант решения задания из учебника Никольский, Потапов 11 класс, Просвещение:
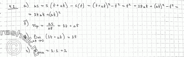
4.2 В задании 4.1 найдите:
а) приращение пути дельта s на промежутке времени от t до t + дельта t;
б) среднюю скорость на промежутке времени от t до t + дельта t;
в) мгновенную скорость в момент времени t;
г) мгновенную скорость в момент времени t= 1.
*размещая тексты в комментариях ниже, вы автоматически соглашаетесь с пользовательским соглашением