Упр.4.25 ГДЗ Никольский Потапов 11 класс (Алгебра)
Решение #1

Рассмотрим вариант решения задания из учебника Никольский, Потапов 11 класс, Просвещение:
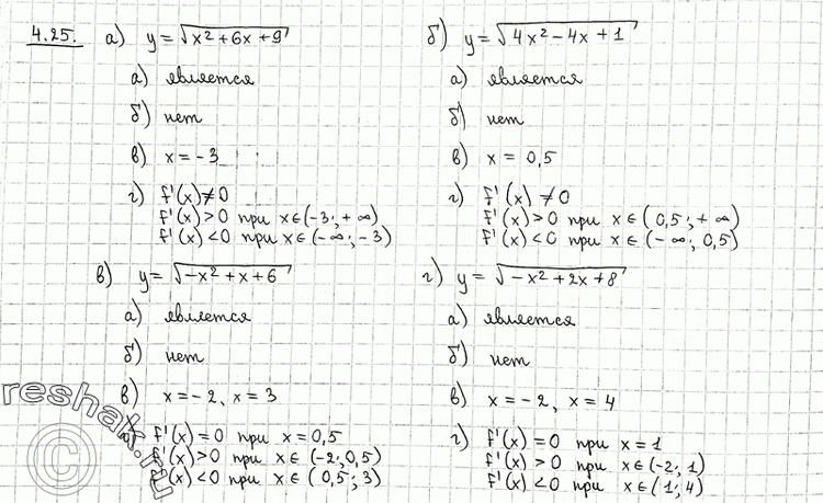
4.25 Для каждой функции в задании 4.24 ответьте на вопрос:
а) Является ли данная функция непрерывной в каждой точке полной области определения?
б) В каждой ли точке функция имеет производную?
в) Если нет, то в какой точке производная не существует?
г) При каких значениях х производная равна нулю; положительна; отрицательна?
*размещая тексты в комментариях ниже, вы автоматически соглашаетесь с пользовательским соглашением