Упр.4.37 ГДЗ Никольский Потапов 11 класс (Алгебра)
Решение #1

Рассмотрим вариант решения задания из учебника Никольский, Потапов 11 класс, Просвещение:
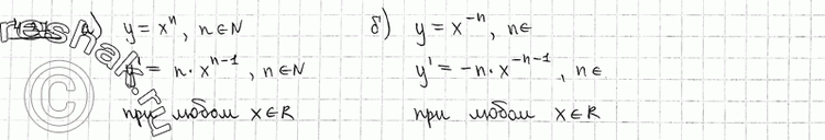
4.37 Запишите формулу для нахождения производной функции:
а) у = xn, n принадлежит N; б) у = x^-n, n принадлежит N.
При каких значениях x справедлива эта формула?
*размещая тексты в комментариях ниже, вы автоматически соглашаетесь с пользовательским соглашением