Упр.4.68 ГДЗ Никольский Потапов 11 класс (Алгебра)
Решение #1
Решение #2

Рассмотрим вариант решения задания из учебника Никольский, Потапов 11 класс, Просвещение:
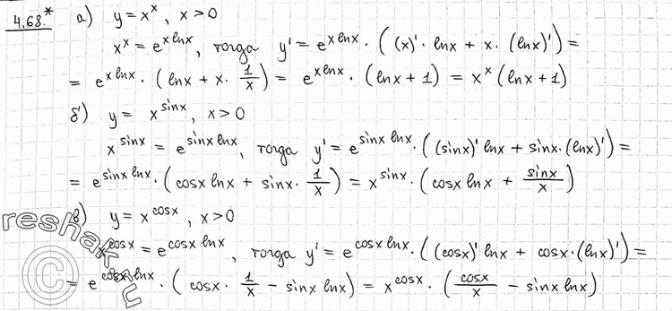
4.68* Для любого х > 0 найдите производную функции:
а) у = xх; б) у = xsinх; в) у = xcos х.
*размещая тексты в комментариях ниже, вы автоматически соглашаетесь с пользовательским соглашением