Упр.410 ГДЗ Колягин Ткачёва 9 класс (Алгебра)
Решение #1

Рассмотрим вариант решения задания из учебника Колягин, Ткачёва, Фёдорова 9 класс, Просвещение:
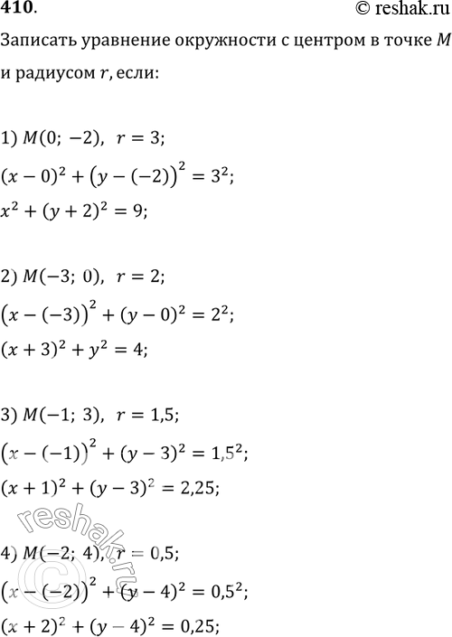
410. Записать уравнение окружности с центром в точке М и радиусом r, если:
1) M(0; -2), r=3; 2) M(-3; 0), r=2;
3) M(-1; 3), r=1,5; 4) M(-2; 4), r=0,5;
5) M(-2; -1), r=1 2/3; 6) M(-3; -2), r=1 3/4.
*размещая тексты в комментариях ниже, вы автоматически соглашаетесь с пользовательским соглашением