Упр.453 ГДЗ Колягин Ткачёва 9 класс (Алгебра)
Решение #1

Рассмотрим вариант решения задания из учебника Колягин, Ткачёва, Фёдорова 9 класс, Просвещение:
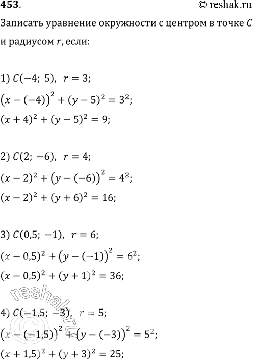
453. Записать уравнение окружности с центром в точке C и радиусом r, если:
1) C(-4; 5), r=3; 2) C(2; -6), r=4;
3) C(0,5; -1), r=6; 4) C(-1,5; -3), r=5.
*размещая тексты в комментариях ниже, вы автоматически соглашаетесь с пользовательским соглашением