Упр.5.122 ГДЗ Никольский Потапов 11 класс (Алгебра)
Решение #1

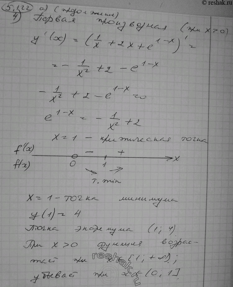
Рассмотрим вариант решения задания из учебника Никольский, Потапов 11 класс, Просвещение:
5.122* а) f(x) = 1/|x| + 2|x| + e^(1-|x|);
б) f(x) = 1/x + 2x+ e^(1-|x|);
в) f(x) 1/x + 2x+ e^(1-x);
г) y= x+ корень (x1-x+1).
*размещая тексты в комментариях ниже, вы автоматически соглашаетесь с пользовательским соглашением