Упр.5.90 ГДЗ Никольский Потапов 11 класс (Алгебра)
Решение #1

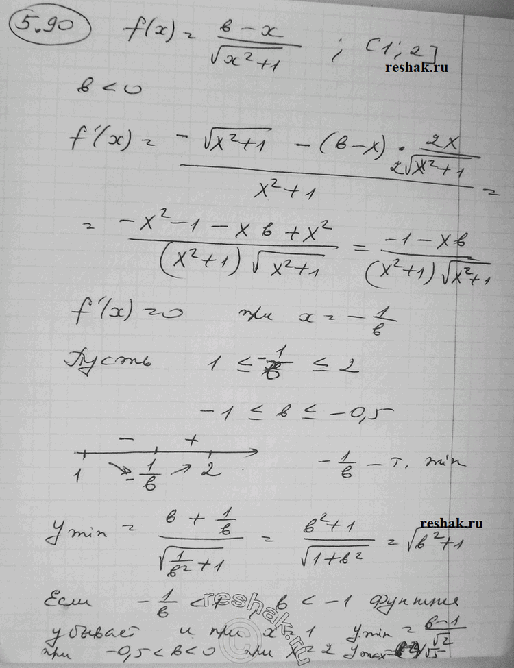
Рассмотрим вариант решения задания из учебника Никольский, Потапов 11 класс, Просвещение:
5.90* Для каждого отрицательного значения b найдите наименьшее значение функции f(x) = (b-x)/корень (x2+1) на отрезке [1; 2].
*размещая тексты в комментариях ниже, вы автоматически соглашаетесь с пользовательским соглашением