Упр.572 ГДЗ Колягин Ткачёва 9 класс (Алгебра)
Решение #1

Рассмотрим вариант решения задания из учебника Колягин, Ткачёва, Фёдорова 9 класс, Просвещение:
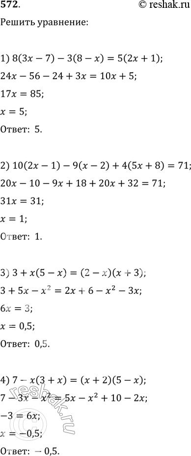
572. Решить уравнение:
1) 8(3x-7)-3(8-x)=5(2x+1);
2) 10(2x-1)-9(x-2)+4(5x+8)=71;
3) 3+x(5-x)=(2-x)(x+3);
4) 7-x(3+x)=(x+2)(5-x).
*размещая тексты в комментариях ниже, вы автоматически соглашаетесь с пользовательским соглашением