Упр.6.73 ГДЗ Никольский Потапов 11 класс (Алгебра)
Решение #1
Решение #2

Рассмотрим вариант решения задания из учебника Никольский, Потапов 11 класс, Просвещение:
6.73 Вычислите определенный интеграл, используя замену переменной:
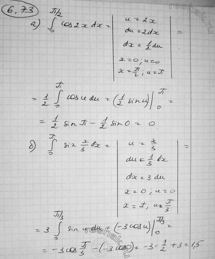
а) интеграл (0;пи/2) cos2x dx;
б) интеграл (0;пи) sinx/3 dx;
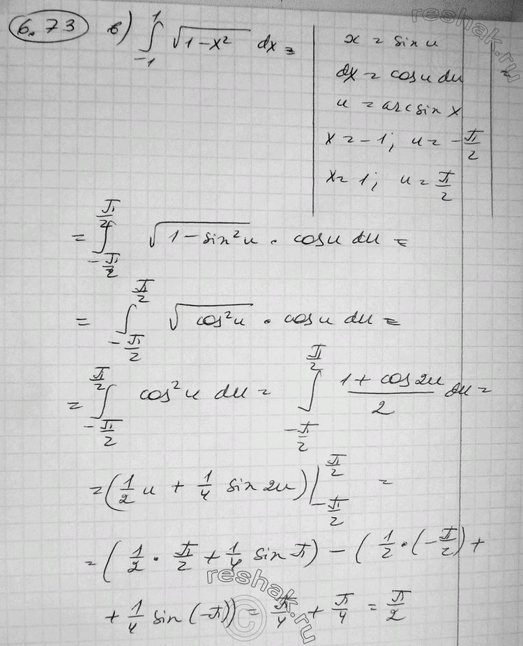
в) интеграл (-1;1) корень (1-x2) dx;
г) интеграл (0;2) корень (4-x2) dx;
д) интеграл (-пи/2;пи/2) dx/(4+x2);
е) интеграл (-пи/2;пи/2) dx/ корень (9-x2).
*размещая тексты в комментариях ниже, вы автоматически соглашаетесь с пользовательским соглашением