Упр.7.19 ГДЗ Никольский Потапов 11 класс (Алгебра)
Решение #1

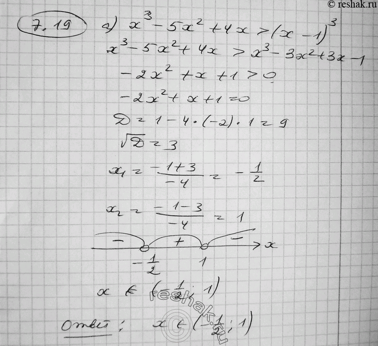
Рассмотрим вариант решения задания из учебника Никольский, Потапов 11 класс, Просвещение:
Решите неравенство (7.19—7.32):
7.19 а) х3 - 5х2 + 4х > (х - 1)3;
б) х3 - 6х2 + 9х > (х - 3)3;
в) х3 + 5х2 - 6х - 2 < 3х2 - 3х + 4;
г) 2х3 + Зх2 - 4х - 6 > х3 - 2х.
*размещая тексты в комментариях ниже, вы автоматически соглашаетесь с пользовательским соглашением