Упр.742 ГДЗ Колягин Ткачёва 9 класс (Алгебра)
Решение #1

Рассмотрим вариант решения задания из учебника Колягин, Ткачёва, Фёдорова 9 класс, Просвещение:
742. Доказать, что если a, b, c — попарно различные числа, то при любых значениях x выполняется равенство:
1) ((x-b)(x-c))/((a-b)(a-c))+((x-c)(x-a))/((b-c)(b-a))+((x-a)(x-b))/((c-a)(c-b))=1;
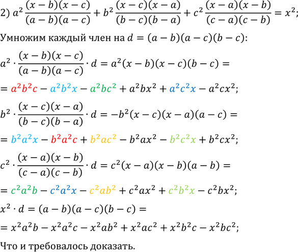
2) a^2((x-b)(x-c))/((a-b)(a-c))+b^2((x-c)(x-a))/((b-c)(b-a))+c^2((x-a)(x-b))/((c-a)(c-b))=x^2;
*размещая тексты в комментариях ниже, вы автоматически соглашаетесь с пользовательским соглашением