Упр.747 ГДЗ Колягин Ткачёва 10 класс (Алгебра)
Решение #1
Решение #2

Рассмотрим вариант решения задания из учебника Колягин, Ткачёва, Фёдорова 10 класс, Просвещение:
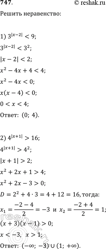
747. Решить неравенство:
1) 3^|x-2|<9
2) 4^|x+1|>16
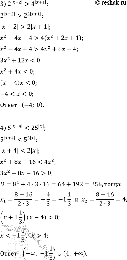
3) 2^|x-2|>4^|x+1|
4) 5^|x+4|<25^|x|
*размещая тексты в комментариях ниже, вы автоматически соглашаетесь с пользовательским соглашением