Упр.9.71 ГДЗ Никольский Потапов 11 класс (Алгебра)
Решение #1
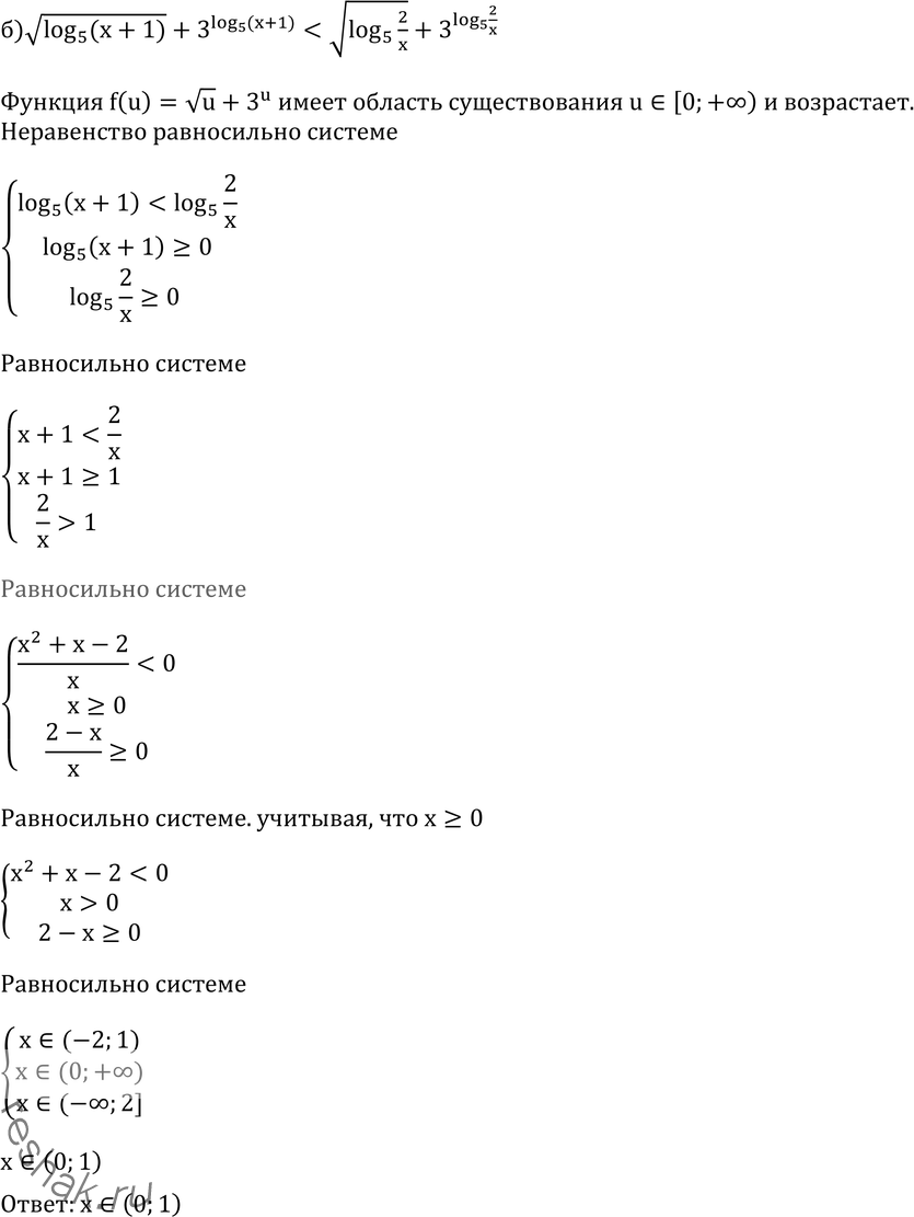
Решение #2

Рассмотрим вариант решения задания из учебника Никольский, Потапов 11 класс, Просвещение:
9.71
*размещая тексты в комментариях ниже, вы автоматически соглашаетесь с пользовательским соглашением