Проверь себя к главе 1 ГДЗ Колягин Ткачёва 8 класс (Алгебра)
Решение #1

Рассмотрим вариант решения задания из учебника Колягин, Ткачёва, Фёдорова 8 класс, Просвещение:
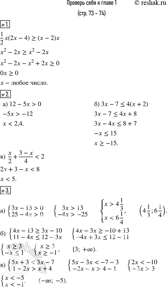
1. Доказать, что при всех значениях x верно неравенство
1/2 x(2x-4)?(x-2)x
2. Решить неравенство:
а) 12-5x>0;
б) 3x-7?4(x+2);
в) x/2+(3-x)/4<2.
3. Решить систему неравенств:
а) {(3x-13>0
25-4x>0)+
б) {(4x-13?3x-10
11-4x?12-3x)+
в) {(5x+3<3x-7
1-2x>x+4)+
4. Доказать, что при любых значениях a верно неравенство:
(a-2)(a^2+a+4) < a^3.
5. Пусть a>5, b>1, c>3. Доказать, что 2a+3bc>15.
6. Решить неравенство:
а) (-5,6)/(3x-8)>0; б)(x+5)/2-1?(3x-7)/4.
7. Решить систему неравенств:
а) {(9x+5?7x-4
15-2x>3x+1)+
б) {(0,6x-1,2<1,1x+2,1
2,3+1,7x?1,5x+3)+
8. Решить неравенство:
а) |x-2|<8; б) |4x+1|?5.
9. Пусть ab^4.
10. Доказать, что a/b+b/a<=2, если ab>0.
11. При каких значениях x точки графика функции y=1/2 x-8 лежат ниже точек графика функции y=-3/2 x+5?
12. Решить двойное неравенство -1?5-0,2x?3.
13. Решить неравенство |4x-3|<3x+1.
*размещая тексты в комментариях ниже, вы автоматически соглашаетесь с пользовательским соглашением