Вводные упражнения 11 ГДЗ Колягин Ткачёва 8 класс (Алгебра)
Решение #1

Рассмотрим вариант решения задания из учебника Колягин, Ткачёва, Фёдорова 8 класс, Просвещение:
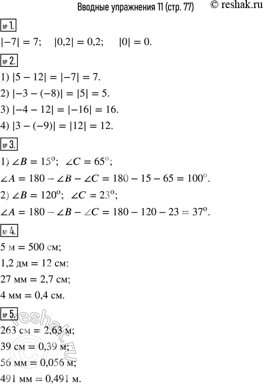
1. Найти модуль числа -7; 0,2; 0.
2. Найти модуль разности чисел:
1) 5 и 12; 2) -3 и -8; 3) -4 и 12; 4) 3 и -9.
3. Найти ? A треугольника ABC, если:
1) ?B=?15?^о; ?C=?65?^о; 2) ?B=?120?^о; ?C=?23?^о.
4. Выразить в сантиметрах 5 м; 1,2 дм; 27 мм; 4 мм.
5. Выразить в метрах 263 см; 39 см; 56 мм; 491 мм.
*размещая тексты в комментариях ниже, вы автоматически соглашаетесь с пользовательским соглашением